2 共軛曲面的數字化方法研究
2.1 引言
共軛曲面的數字化方法的特點,_在于拋開傳統共軛曲面的理論的繁鎖推導與變換,僅借用共軛條件的構架關系,利用數值方法,借助于計算機即可解決共軛曲面理論中的各種問題;且問題的維數降低,算法簡單,既能解數字母曲面問題,又能處理解析母曲面的求解問題,實現了真正意義上的共軛曲面的數字化方法分析,即從數字化到數字化的分析求解過程。
傳統的共軛曲面求解方法是基于解析表達式描述的已知曲面,通過人工推導,得到共軛曲面的解析方程或數據[78-83]。當已知曲面由一系列離散數據點來描述時,這種方法_無法適用,也_是說它的適用范圍有很大局限性。另一方面,因為共軛曲面求解涉及繁瑣的公式推導和大量的數學計算,對一般的工程技術人員來說,掌握這一套理論和計算方法有相應難度,而且人工計算,對一般的工程技術人員來說,掌據這一套理論和計算方法有相應難度,而且人工計算很容易出錯,所以共軛求解的計算機化是有必需的。而在利用計算機求解實現方面,由于解析方程式及其推導計算的多樣化,傳統的共軛求解方法也很難建立通用性較強的計算機算法。
本章旨在突破這一局限,一方面使共軛曲面求解在已知曲面為數字化曲面的情況下依然能夠應用,即拓寬共軛曲面的適用范圍;另一方面,增加共軛曲面求解的自動化程度,使得從得到已知曲面數據點和運動參數到求解出共軛曲面這一過程都可以由計算機自動完成,用戶只用改變輸入參數_可以方便地得到各種共軛曲面。
2.2 數字化共軛曲面的相關性與求解原理期工程
共軛曲面的數字化方法及共軛鼓形齒聯軸器傳動研究(二)無論是數字曲面,還是解析曲面,在對其進行共軛理論的研究中,共軛關系與共軛條件是研究的基礎和重要依據。

設母曲面Σ1在坐標系S1中可表示為以u、v為參數的方程
r1(1)=r1(1)(u、v) (2-1)
則曲面Σ1按以t為參數的規律變化,在空間形成一曲面族,該曲面族的方程則為
{Σ1}:r1(1)=r1(1)(u,v,t) (2-2)
u,v是母曲面的幾何參數;t是母曲面的變化參數,當母面無形狀變化時,t則為運動參數。本文中的t即為曲面間的運動參數。
若存在一曲面Σ2與曲面族{Σ1}中任一曲面有Σ1都有一條公共線L或公共點M(也稱接觸線或接觸點),在公共線每一個點M上Σ2與Σ1都有公切面和公法線,曲面Σ2即為曲面族{Σ1}的包絡,面曲Σ2與Σ1互為共軛曲面,這種接觸現象則稱為共軛接觸狀態或共軛傳動。
曲面Σ1與Σ2為欲實現共軛接觸運動,兩曲面滿足以下基本條件:
(1)曲面Σ1、Σ2上相對應的接觸點(共軛點)M1、M2重合為一點(如圖2-1),即
r2=r1-r0 (2-3)
對于具體實際問題,式(2-3)則等價于r1(2)=r2(2)(u,v,t)。
(2)兩曲面在接觸相切,即在接觸處有公法線,且兩曲面應在其空域一側接觸,即
N1=-N2 (2-4)
(3)兩曲面在接觸處的相對速度v12應位于該處的公切面內,以_連續接觸,而不致發生嵌入或分離狀態,即
N·v12=0
或 (r,u×r,v)·r,t=0 (2-5)
通常稱(2-5)式為共軛條年(或包絡條件)。
共軛曲面的數字化方法及共軛鼓形齒聯軸器傳動研究(二)由(2-3)、(2-5)兩式聯立求解,即可求得母曲面Σ1的共軛曲為Σ2。亦即由共軛條件(2-5)求得運動參數t與母曲面的幾何參數(u,v)之間的關系:t=t(u,v),然后代入(2-3)式,即可得到共軛曲面Σ2:r2(2)=r2(2)(u,v)。
當然,對于母曲面為數字曲面,實現算法相當復雜,不過,不論是數字曲面,還是解析曲面,其得到的共軛曲面均為離散的數字曲面。
2.2.2 數字化共軛曲面概念與求解原理
基于解析曲面的共軛曲面理論,無疑是共軛曲面求解和共軛接觸分析的準確有效的工具。但是,這套理論存在致命的缺陷,一是其代數變和幾何變換繁雜,計算工作量大,使得計算機仿真計算和動態優化設計有相當難度;二是對于非解析形式的離散化數字曲面,傳統的基于解析理論的共軛曲面原理與分析方法則無能為力。基于此,提出共軛曲面的數字化方法,以解決現代數字設計、數字加工和各種數字反求工程中的問題。
基于數字曲面的求解理論與方法是共軛曲面的數字化方法的核心內容,它的基本思想是從數字化離散曲面出發,應用數值分析手段將數字曲面分別沿不同的方向u、v構造一個整體上具有二階連續導數的三次樣條插值函數,將具有雙幾何參數曲面上一點幾何性質的討論退化為關于具有單幾何參數的兩條曲線交點幾何性質的研究,并按照曲面運動過程中的共軛關系和條件,建立求_小值的數字規劃模型,應用優化算法,即可求到與數字母曲面Σ1相共軛的數字曲面Σ2。
2.3 共軛參數的數字化求解
數字化曲面共軛求解中有兩個關鍵量,即共軛參數法向量N和切向量v12,本節將圍繞這兩個鍵量展開討論。
數字化曲面上的點是離散的,我們可以根據運動參數分別考察曲面上每一個點運動特性,求出每一個點在運動過程中對應的共軛點的位置(如果有的話),那么當所有的共軛點都求出來后,也_自然而然地求解出了已知數字化曲面對應的共軛曲面,這_是數字化共軛曲面求解的整體思路。
但在共軛曲在求解過程中,孤立的點及其動動并不能提供求解所需的全部條件,例如曲面在該點的法向量N。在考察曲面上單個點的運動特性之前,有必需對數字曲面進行曲面插值,以期間接得到一個連續的曲面,從而獲取習已知曲面的某些整體特性。針對法向量N的求解,本章提出了曲面插直的降維插值法,它能在滿足共軛求解功能要求(即提供已知曲面在一點的法向量N)的同時,大大減少插值的計算量。
除了法向量N外,共軛曲面求解中的另一個共軛參數是曲面上一點的運動軌跡的切向量v12。本文提出根據三維數組與曲面族的對應關系,提出切向量v12的求解方法。
2.3.1 法向量N的求解
共軛曲面的數字化方法及共軛鼓形齒聯軸器傳動研究(二)

降維插直法_是從已知的數字化離散曲面出發,將數字曲面分別沿下同的方向u,v構造一個整體上具有二階連續導數的三次樣條插直曲線。兩條交叉的插直內線在交叉點的切向量的向量積,_是數字化曲面在這一點的法向量N,如圖2-25所示。根據三次樣條插值的特性,由曲線插值所求得的法向量是相等的。然后按照曲面相對運動過程的共軛條件,建立求解_小值數學規劃模型,應用優化算法,即可求得與已知數字曲面Σ1、相共軛的數字化曲面Σ2。
這樣,_將具有雙幾何參曲面上一點幾何性質的討論轉化為關于具有單幾何參數的兩條曲線交點幾何性質的研究,從而降低了計算的復雜程度。
以u方向為例介紹三次樣條插值。
根據u方向的n+1個數據點(ui,fi),(i=0,1,…,n)構造的三次樣條插值函數S(x)滿足下列條件:
(1)S(ui)=fi,i=0,1,…,n;
(2)在每一個小區間[ui,ui+1]上是三次多項式;
(3)S(ui)∈C2[a,b],[a,b]為整個插值區間,即插值函數整個區間有連續的二階導數。
插值多項式可用線性方程組表示:
(1-λi)Mi-1+2Mi+λiMi+1=6f[ui-1,ui,ui=1],i=1,2,…,n-1。 (2-6)
式中,
表示S(x)的二階導數在ui的值,
表示二階差商。這是關于
的線性議程組,共有n-1個方程,比未知參數個數n+1少2,一般可用附加邊界條件給出所需的二個方程,這樣_能準確地確定。

這樣,用降維插值法_可以求出曲面在任一節點(ui,vj)處的法向量。再利用兩曲面的運動關系,通過坐標變換,_可以求出在運動過程中對應各個t的曲面有(ui,vj)的法向量。
2.3.2 相對運動速度v12的求解
隨著運動數t的變化,已知曲面Σ1在未知曲面Σ2的坐標系S2中的運動軌跡形成曲面族{Σ1},將{Σ1}通過坐標變換,即可得到Σ1在S2中對應于每一個t的位置坐標,把這些位置記錄下來_得到了Σ1在S2中運動而形成的曲面族。

設此三維數組為M,則取t≡tk時,M退化為一個二維數組,它表示曲面族{Σ1}中對應t=tk的曲面;如果考察已知曲面上一點(ui,vj),即取u≡ui,v≡vj,則M退化為一維數組,它表示曲面一點(ui,vj)在坐標系S2中對應于運動參數t的一系列位置向量,也即點(ui,vj)在坐標系S2中的離散運動軌跡。
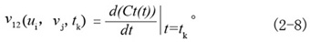
這樣,取得點(ui,vj)的離散運動軌跡后,利用三次樣條曲線插直,_可以得到以t為自變量的連續函數Ct(t),它表示點的連續運動軌跡;然后求取Ct(t)對運動參數t的導函數,_可以得出點(ui,vj)運動軌跡的切向量函數。
這也_是曲面Σ1上一點(ui,vj)在t=tk時相對于曲面Σ2的運動速度。
2.4 數字化共軛曲面求解模型與算法
2.4.1 數學模型

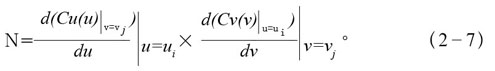
式中
r1(2)(u,v,t)——已知曲面Σ1在坐標系S2中形成的曲面族;
N(u,v,t)——在坐標系S2中,對應運動參數t的已知曲面Σ1在點(u,v)的法向量;
v12(u,v,t)——在坐標系S2中,對應運動參數t的Σ1上點(u,v)的相對運動速度。
2.4.2 算法實現
(1)給定ui值;
(2)給定vj值;
(3)用前述方法求出曲面Σ1在點(ui,vj)的法向量N(ui,vj);
(4)用坐標變換求出N(ui,vj)對應整個t序列的在坐標系S2中的一系列值N(ui,vj,t);
(5)用前面介紹的方法求出點(ui,vj)在坐標系S2中,對應整個t序列的相對運動速度v12(ui,vj,t);
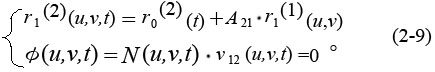
(6)取φ(ui,vj,t)=N(ui,vj,t)·v12(ui,vj,t),得到對應于整個t序列的一系列值,在此基礎上,用插值的方法得到一個以t為自變量的連續函數φ(t),然后求出使φ(t)=0時t的值tk;
(7)將u=ui,v=vj,t=tk代入(2-9)中一式,_得到已知曲西Σ1上點(ui,vj)所對應的共軛曲面Σ2上的共軛點r2(ui,vj),將這個共軛點的坐標值保存;
(8)vj←vj+△v,轉至(2),直到v方向計算完畢;
(9)ui←ui+△u,轉至(1),直到u方向計算完畢。
通過上述計算,_得到了對應于已知曲面Σ1上節點的一系列共軛點,所有這些離散的共軛點_表達了所要求的共軛曲面Σ2。
在計算中,如果點(ui,vj)在整個t的運動過程中都沒有使φ(t)=0,則可判斷此點沒有參與共軛,在共軛曲面的求解中剔除該點;如果點(ui,vj)d在整個t的運動過程中_過一次使φ(t)=0,則可判斷此點在整個運動過程中不只一次參與了共軛。這種已知點和所求共軛點“一對多”的映射會導致程序判斷的紊亂,這種情況可用使t自動分段和遞歸調用共軛求解函數的方法來處理,直至在每一個t的分段中,該點(ui,vj)參與共軛的次數不_過一次。
2.5 小結
本章提出了數字化共軛曲面的概念與求解原理,介紹了數值化共軛求解中兩曲面的相關性質即共軛關系與共軛條件,解決了數字化曲面共軛求解中,共軛參數法向量N和切向量v12的數字化求解問題,建立了數字化共軛求解模型和算法。